任何有成就的技术作家的首要任务都是为受众写作。这个任务听起来很简单,但当我想起世界各地的人们时,我不禁想:他们能读懂我们的文档吗?可读性是一个多年来一直被研究的课题,接下来是对研究成果的简要总结。
研究证明,人们对他们能够轻松理解的信息做出积极反应。问题是:我们撰写的内容是否易于普通人阅读和理解?如果人们对我们的内容没有共鸣,原因之一可能是我们写的内容“超出了他们的理解能力”,这种情况比你想象的更常见。为了听起来更优越、更聪明或更像我们领域的专家,许多人会过度写作内容,或者使用大词来占据最多的印刷材料空间。
检查你的文档是否易于阅读的一个简单方法是使用可读性测试。为此目的已经创建了许多不同的测试,其中最流行的三个是
流行的可读性测试
弗莱士易读性测试
鲁道夫·弗莱士,为什么约翰尼不会阅读:以及你能为此做些什么的作者,创建了弗莱士易读性测试,以进一步推进他认为美国教师需要回归语音教学而不是视觉阅读(整体单词识字)的观点。他的工作和对阅读和语音的倡导是苏斯博士创作戴帽子的猫的灵感来源。这个测试告诉我们文本有多容易阅读。算法如下

图表来自 维基百科。 CC BY-SA 3.0
结果分数解释如下

表格来自 维基百科。 CC BY-SA 3.0
这意味着什么?
- 分数越低,文本越难阅读
- 65 分是“简明英语”评级
这个分数与著名的出版物相比如何? [1]
- 读者文摘:65
- 时代杂志:52
- 哈佛法律评论:>40
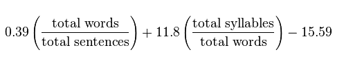
弗莱士-金凯德年级水平可读性测试
弗莱士-金凯德阅读测试是鲁道夫·弗莱士(上面提到)和 J. 彼得·金凯德之间合作的成果。J. 彼得·金凯德是一位教育家和科学家,他一生都在学术界工作或在美国海军进行研究。J. 彼得·金凯德在与海军签订合同时开发了他的可读性测试版本,目的是评估技术手册的难度。弗莱士-金凯德年级水平可读性测试将测试转换为美国年级水平,这更容易判断其他人是否可以阅读该材料。算法如下

图表来自 维基百科。 CC BY-SA 3.0
结果对应于美国年级水平,因此一旦计算出分数,我们就知道谁可以理解我们的写作。例如,奥巴马总统的2012 年国情咨文的年级水平为 8.5;然而,平价医疗法案 的可读性水平为 13.4(大学或更高学历)。一些流行的书籍的可读性结果可能会让你感到惊讶:
- 晚安,月亮(玛格丽特·怀兹·布朗的儿童读物):2.8
- 老人与海(美国作家欧内斯特·海明威):4.1
- 哈利·波特与死亡圣器(J.K. 罗琳的哈利·波特系列的最后一本小说):7.8
- 从优秀到卓越:为什么有些公司能够实现飞跃……而另一些公司却不能(詹姆斯·C·柯林斯的管理书籍):10.4
冈宁雾度指数
冈宁雾度指数创建于 1952 年。算法如下

图表来自 维基百科。 CC BY-SA 3.0
该指数并非完美,因为有些词(例如大学)很复杂但容易理解,而短词(例如恩惠)可能不易理解。鉴于此,结果可以解释如下 [2]:
- 雾度指数 >12 最适合美国高中毕业生
- 8-12 之间(接近 8)是理想的
- <8 接近普遍理解
为什么我应该关心我的写作的可读性?
如果我们的写作太难阅读,那么没有人会想读它。可悲的事实是,大约 50% 的美国人阅读水平在八年级水平。我们写作的年级水平越高,可以阅读它的人就越少。如果我们难以阅读某些内容,我们对内容的体验将是负面的,这种负面体验使我们不太可能向其他人推荐该内容。你有没有推荐过一本你不喜欢读的书?文档也是如此。
我如何计算我的写作的可读性?
有几种方法可以计算可读性。最简单的计算方法是在文字处理器或编辑工具中进行。例如,Publican 是一种基于 DocBook XML 的发布工具。Publican 4.0.0 版本添加了 Flesh-Kincaid 统计信息功能,用户可以使用以下命令运行该功能
$ publican report --quiet
这将生成可读性报告。
如果您使用 vim 作为您的文本编辑器,可以从 GitHub 下载并安装 vim-readability 插件(感谢 Peter Ondrejka)。gedit 也提供类似的插件 gulpease。要在不使用插件的情况下检查可读性,请在 Readability-Score.com 复制并粘贴文本。
最后思考
保持简单,亲爱的!我们的文档越容易理解,使用它的人就越多。如果您好奇,本文的可读性为
- 弗莱士:68.5
- 弗莱士-金凯德:6.9
- 冈宁雾度:9.3
一旦我们知道我们写作的可读性,我们就可以在必要时对其进行简化。我将在我的下一篇文章中概述简化写作的想法。敬请期待!
来源
- 弗莱士-金凯德可读性测试(维基百科)
- 冈宁雾度指数
- 这种令人惊讶的阅读水平分析将改变你的写作方式,作者 Shane Snow
- Readability-Score.com

8 条评论